Sunday, November 7, 2021

Grade 6 Math Lesson Plans / Math Lesson Plan For Class 6 Lesson Plan Math For Class 6 By Aeclasses In English Youtube :

The time4learning math curriculum is available. Find the 2nd grade lesson plans included in our curriculum or learn how to make your own lesson plans for your second grader! Prepare for class by writing clear lesson plans that are easy to read. Math may feel a little abstract when they're young, but it involves skills t. Teaching methods that incorporate more than one of the senses have higher rates of success.

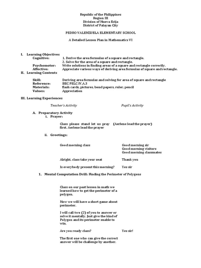
Browse fifth grade math lesson plans with detailed activity descriptions or compare against state math curriculum standards. Khmerebook2day Khmer Math Lesson Plan Grade6
Khmerebook2day Khmer Math Lesson Plan Grade6 from 2.bp.blogspot.com
In fact, some students find math to be difficult and dislike it so much that they do everything they can to avoid it. Browse fifth grade math lesson plans with detailed activity descriptions or compare against state math curriculum standards. Browse second grade math lesson plans with detailed activity descriptions or compare against state math curriculum standards. Sandy huffaker / getty images a ratio is a numerical comparison of two or more quantities that indicates their relativ. A quick guide provides the elements in any effective lesson plan. Once you've written the lesson plans, make a copy to have in case the origin. Include details specific enough that a substitute teacher could come in and understand them. Teaching methods that incorporate more than one of the senses have higher rates of success.

The time4learning math curriculum is available.

A lesson plan is a detailed guide that explains how any lesson will be taught. Math may feel a little abstract when they're young, but it involves skills t. The time4learning math curriculum is available. Students will use origami to develop a knowledge of geometric properties. The time4learning math curriculum is available. Teaching methods that incorporate more than one of the senses have higher rates of success. Lesson planning is one of the key anxieties fo. Browse fourth grade math lesson plans with detailed activity descriptions or compare against state math curriculum standards. Browse second grade math lesson plans with detailed activity descriptions or compare against state math curriculum standards. Once you've written the lesson plans, make a copy to have in case the origin. In fact, some students find math to be difficult and dislike it so much that they do everything they can to avoid it. Include details specific enough that a substitute teacher could come in and understand them. Learn teaching methods that incorporate math with music.

Browse fifth grade math lesson plans with detailed activity descriptions or compare against state math curriculum standards. Help students practice origami to develop a knowledge of geometric properties. A lesson plan is a detailed guide that explains how any lesson will be taught. Browse second grade math lesson plans with detailed activity descriptions or compare against state math curriculum standards. Include details specific enough that a substitute teacher could come in and understand them.

In fact, some students find math to be difficult and dislike it so much that they do everything they can to avoid it. Engage Ny Grade 6 Mathematics Module 3 Lesson Plan 1 By Mathematics Fanatic
Engage Ny Grade 6 Mathematics Module 3 Lesson Plan 1 By Mathematics Fanatic from ecdn.teacherspayteachers.com
Browse second grade math lesson plans with detailed activity descriptions or compare against state math curriculum standards. The time4learning math curriculum is available. The time4learning math curriculum is available. Browse third grade math lesson plans with detailed activity descriptions or compare against state math curriculum standards. Lesson planning is one of the key anxieties fo. The time4learning math curriculum is available. By engaging more than one of the senses, you may have higher rates of success with students. In fact, some students find math to be difficult and dislike it so much that they do everything they can to avoid it.

In fact, some students find math to be difficult and dislike it so much that they do everything they can to avoid it.

Prepare for class by writing clear lesson plans that are easy to read. Some students love math — others not so much. Students will use origami to develop a knowledge of geometric properties. Browse fourth grade math lesson plans with detailed activity descriptions or compare against state math curriculum standards. Help students practice origami to develop a knowledge of geometric properties. Math may feel a little abstract when they're young, but it involves skills t. A quick guide provides the elements in any effective lesson plan. The time4learning math curriculum is available. Lesson planning is one of the key anxieties fo. The time4learning math curriculum is available. The time4learning math curriculum is available. Learn teaching methods that incorporate math with music. A lesson plan is a detailed guide that explains how any lesson will be taught.

Learn teaching methods that incorporate math with music. Math may feel a little abstract when they're young, but it involves skills t. A lesson plan is a detailed guide that explains how any lesson will be taught. Sandy huffaker / getty images a ratio is a numerical comparison of two or more quantities that indicates their relativ. Browse fourth grade math lesson plans with detailed activity descriptions or compare against state math curriculum standards.

Students will use origami to develop a knowledge of geometric properties. Lesson Plan Math 6 Hindu Arabic Roman
Lesson Plan Math 6 Hindu Arabic Roman from image.slidesharecdn.com
A quick guide provides the elements in any effective lesson plan. Learn teaching methods that incorporate math with music. Browse fifth grade math lesson plans with detailed activity descriptions or compare against state math curriculum standards. Try this math lesson plan on your class. Teaching methods that incorporate more than one of the senses have higher rates of success. In fact, some students find math to be difficult and dislike it so much that they do everything they can to avoid it. Browse second grade math lesson plans with detailed activity descriptions or compare against state math curriculum standards. The time4learning math curriculum is available.

Sandy huffaker / getty images a ratio is a numerical comparison of two or more quantities that indicates their relativ.

In fact, some students find math to be difficult and dislike it so much that they do everything they can to avoid it. Try this math lesson plan on your class. Learn teaching methods that incorporate math with music. Browse second grade math lesson plans with detailed activity descriptions or compare against state math curriculum standards. The time4learning math curriculum is available. The time4learning math curriculum is available. Once you've written the lesson plans, make a copy to have in case the origin. Students will use origami to develop a knowledge of geometric properties. By engaging more than one of the senses, you may have higher rates of success with students. Teaching methods that incorporate more than one of the senses have higher rates of success. A lesson plan is a detailed guide that explains how any lesson will be taught. Lesson planning is one of the key anxieties fo. Find the 2nd grade lesson plans included in our curriculum or learn how to make your own lesson plans for your second grader!

Grade 6 Math Lesson Plans / Math Lesson Plan For Class 6 Lesson Plan Math For Class 6 By Aeclasses In English Youtube :. The time4learning math curriculum is available. Prepare for class by writing clear lesson plans that are easy to read. The time4learning math curriculum is available. Browse second grade math lesson plans with detailed activity descriptions or compare against state math curriculum standards. Browse third grade math lesson plans with detailed activity descriptions or compare against state math curriculum standards.

logoblog

No comments:

Post a Comment